Launch Time: 2016-12-12 Views: 2860 Rely: 0 Started by:
Hello everyone, I suppose most of you have the experience of getting cough when you are vaping while few of you may know why, today, I am going to talk about cough and have you got rid of the trouble. Let’s see some reports first:
Julia’s not the only one who coughs when vaping. In fact when we surveyed 600 vapers, almost 57 % of them said they coughed when using an electronic cigarette for the first time:

Research by scientists backs this up, suggesting that the most common side effect experienced by first time vapers was a cough and sore throat.
For most vapers, coughing when vaping is a temporary effect. While almost 57% said they coughed when they first vaped, 93% of them no longer have a problem.

For those interested, 92% had been vaping for more than 10 weeks, with just 1% of those surveyed vaping for 0-1 weeks.
1. Irritants
Why do we cough? Most vapers will probably tell you it’s because of propylene glycol.Based on a very rough estimate (put together by Chris Price based on an analysis of forum posts) around 10% of the population is sensitive to propylene glycol. (A much smaller proportion is allergic to propylene glycol).
In addition, Professor Polosa told me there may be other elements in vapour which cause vapers to cough: we cannot discount the possibility of other unknown ingredients, contaminants, by-products in the e-vapour causing similar irritant effects.But this raises a question. Why do vapers cough when they first use e-cigarettes, but not after sustained use? No-one seems to have the answer at the moment, but one possible reason is that your body gets used to these chemicals.
2. Lack of Anesthetics
In addition, Chris Price of ECigarette Politics believes that tobacco smoke contains ingredients which are specifically designed to stop smokers from coughing. Chris told me: Essentially, this is why you can breathe in tobacco smoke when you can’t breathe in bonfire smoke too well, when they are basically the same thing: burning plant matter…. Some of the 9,600 ingredients identified to date are in there to to make the smoke smoother, less irritating, and to prevent coughing. The absence of anaesthetics and antitussives in vaping could explain why you cough when you first try vaping.
cca7f6cc.jpg?w=358&h=141)
3. Technique Used When Vaping
Then there’s technique. Many smokers draw cigarette smoke through their mouths and straight into their lungs. But many vapers, on the other hand, draw vapor into their mouths and hold it there before inhaling into their lungs. Some vapers find that using the same technique for cigarettes causes them to cough. Could the difference between techniques explain why people cough when they first vape, but not when they are experienced vapers?
Our survey seems to suggest techniques make a difference for at least some vapers. Although many respondents (40.58%) were unsure or couldn’t remember whether changing technique helped, almost 30% felt it did help:

Initially I thought that mouth-to-lung inhale was less likely to make you cough when vaping, but in fact it seems to vary from vaper to vaper (possibly because of the difference in devices and juice used.)
4. Cilia Regrowth
When you smoke, you slowly destroy tiny hair-like projections on your respiratory tract called cilia. When you stop smoking, these slowly grow back. A by-product of the hairs growing back is coughing – just one of many side effects you can experience when you stop smoking. Some bloggers have speculated that this regrowth or cilia could be why new vapers cough. This might explain why some new vapers have a recurring cough when switching to vaping. However, it doesn’t explain why smokers cough when they vape their first e-cigarette.
5. Nicotine Strength & Throat Hit
If you’re an experienced vaper and you’ve tried a zero nicotine e-liquid, you’ll have noticed that the throat hit is much reduced. A higher nicotine level seems to lead to a harsher vape, and an increased likelihood of coughing. On the other hand, some people need a high nicotine level in order to successfully switch to e-cigarettes.
6. Device Used
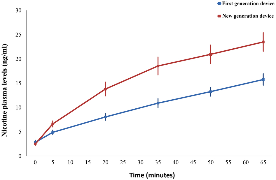
The device used can also contribute to coughing. In fact, many users cough when they first switch to a sub-ohm device. So if coughing is an issue for you, it may be worth using a more basic device when you start off. Again, you do need to balance this with research that shows cigarette smokers are more likely to successful switch to electronic cigarettes with more advanced devices. This is probably because they deliver more nicotine more quickly than basic devices, as the graph below shows:

7. Dehydration
Both propylene glycol (PG) and vegetable glycerine (VG) attract water, which helps make the clouds of vapour that you see when exhale. A minor side of this can be dehydration and occasionally a sore or dry throat, which may contribute to coughing.
Do you want to know how to stop coughing, come to Cacuq forum to know the answers